DISCOUNTED CASHFLOW MODELS: WHAT THEY ARE AND HOW TO CHOOSE THE
RIGHT ONE..
THE FUNDAMENTAL CHOICES FOR DCF VALUATION
- Cashflows to Discount
- Dividends
- Free Cash Flows to Equity
- Free Cash Flows to Firm
- Expected Growth
- Stable Growth
- Two Stages of Growth: High Growth -> Stable Growth
- Three Stages of Growth: High Growth -> Transition Period -> Stable
Growth
- Discount Rate
- Cost of Equity
- Cost of Capital
- Base Year Numbers
- Current Earnings / Cash Flows
- Normalized Earnings / Cash Flows
WHICH CASH FLOW TO DISCOUNT...
- The Discount Rate should be consistent with the cash flow being
discounted
- Cash Flow to Equity -> Cost of Equity
- Cash Flow to Firm -> Cost of Capital
- Should you discount Cash Flow to Equity or Cash Flow to Firm?
- Use Equity Valuation
- (a) for firms which have stable leverage, whether high or not,
and
- (b) if equity (stock) is being valued
- Use Firm Valuation
- (a) for firms which have high leverage, and expect to lower the
leverage over time, because
- debt payments do not have to be factored in
- the discount rate (cost of capital) does not change dramatically
over time.
- (b) for firms for which you have partial information on leverage
(eg: interest expenses are missing..)
- (c) in all other cases, where you are more interested in valuing
the firm than the equity. (Value Consulting?)
- Given that you discount cash flow to equity, should you discount
dividends or Free Cash Flow to Equity?
- Use the Dividend Discount Model
- (a) For firms which pay dividends (and repurchase stock) which
are close to the Free Cash Flow to Equity (over a extended period)
- (b)For firms where FCFE are difficult to estimate (Example: Banks
and Financial Service companies)
- Use the FCFE Model
- (a) For firms which pay dividends which are significantly higher
or lower than the Free Cash Flow to Equity. (What is significant?
... As a rule of thumb, if dividends are less than 75% of FCFE
or dividends are greater than FCFE)
- (b) For firms where dividends are not available (Example: Private
Companies, IPOs)
WHAT IS THE RIGHT GROWTH PATTERN...

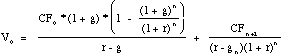
THE PRESENT VALUE FORMULAE
- For Stable Firm:
- For two stage growth:
- For three stage growth:
Definitions of Terms
V0= Value of Equity (if cash flows to equity are discounted) or
Firm (if cash flows to firm are discounted)
CFt = Cash Flow in period t; Dividends or FCFE if valuing equity or FCFF if valuing firm.
r = Cost of Equity (if discounting Dividends or FCFE) or Cost
of Capital (if discounting FCFF)
g = Expected growth rate in Cash Flow being discounted
ga= Expected growth in Cash Flow being discounted in first stage
of three stage growth model
gn= Expected growth in Cash Flow being discounted in stable period
n = Length of the high growth period in two-stage model
n1 = Length of the first high growth period in three-stage model
n2 - n1 = Transition period in three-stage model
WHICH MODEL SHOULD I USE?
- Use the growth model only if cash flows are positive
- Use the stable growth model, if
- the firm is growing at a rate which is below or close (within
1-2% ) to the growth rate of the economy
- Use the two-stage growth model if
- the firm is growing at a moderate rate (... within 8% of the stable
growth rate)
- Use the three-stage growth model if
- the firm is growing at a high rate (... more than 8% higher than
the stable growth rate)
SUMMARIZING THE MODEL CHOICES
|
Dividend Discount Model
|
FCFE Model
|
FCFF Model
|
| Stable Growth Model |
- Growth rate in firmís earnings is stable. (g of firmeconomy+1%)
- Dividends are close to FCFE (or) FCFE is difficult to compute.
- Leverage is stable
|
- Growth rate in firmís earnings is stable. (gfirmeconomy+1%)
- Dividends are very different from FCFE (or) Dividends not available
(Private firm)
- Leverage is stable
|
- Growth rate in firmís earnings is stable. (gfirmeconomy+1%)
- Leverage is high and expected to change over time (unstable).
|
| Two-Stage Model |
- Growth rate in firmís earnings is moderate.
- Dividends are close to FCFE (or) FCFE is difficult to compute.
- Leverage is stable
|
- Growth rate in firmís earnings is moderate.
- Dividends are very different from FCFE (or) Dividends not available
(Private firm)
- Leverage is stable
|
- Growth rate in firmís earnings is moderate.
- Leverage is high and expected to change over time (unstable).
|
| Three-Stage Model |
- Growth rate in firmís earnings is high.
- Dividends are close to FCFE (or) FCFE is difficult to compute.
- Leverage is stable
|
- Growth rate in firmís earnings is high.
- Dividends are very different from FCFE (or) Dividends not available
(Private firm)
- Leverage is stable
|
- Growth rate in firmís earnings is high.
- Leverage is high and expected to change over time (unstable).
|
GROWTH AND FIRM CHARACTERISTICS
|
Dividend Discount Model |
FCFE Discount Model |
FCFF Discount Model |
| High growth firms generally |
- Pay no or low dividends
- Earn high returns on projects (ROA)
- Have low leverage (D/E)
- Have high risk (high betas)
|
- Have high capital expenditures relative to depreciation.
- Earn high returns on projects
- Have low leverage
- Have high risk
|
- Have high capital expenditures relative to depreciation.
- Earn high returns on projects
- Have low leverage
- Have high risk
|
| Stable growth firms generally |
- Pay large dividends relative to earnings (high payout)
- Earn moderate returns on projects (ROA is closer to market or
industry average)
- Have higher leverage
- Have average risk (betas are closer to one.)
|
- narrow the difference between cap ex and depreciation. (Sometimes
they offset each other)
- Earn moderate returns on projects (ROA is closer to market or
industry average)
- Have higher leverage
- Have average risk (betas are closer to one.)
|
- narrow the difference between cap ex and depreciation. (Sometimes
they offset each other)
- Earn moderate returns on projects (ROA is closer to market or
industry average)
- Have higher leverage
- Have average risk (betas are closer to one.)
|
SHOULD I NORMALIZE EARNINGS?
- Why normalize earnings?
- The firm may have had an exceptionally good or bad year (which
is not expected to be sustainable)
- The firm is in financial trouble, and its current earnings are
below normal or negative.
- What types of firms can I normalize earnings for?
- The firms used to be financially healthy, and the current problems
are viewed as temporary.
- The firm is a small upstart firm in an established industry, where
the average firm is profitable.
HOW DO I NORMALIZE EARNINGS?
- If the firm is in trouble because of a recession, and its size
has not changed significantly over time,
- Use average earnings over an extended time period for the firm
Normalized Earnings = Average Earnings from past period (5 or
10 years)
- If the firm is in trouble because of a recession, and its size
has changed significantly over time,
- Use average Return on Equity over an extended time period for
the firm
Normalized Earnings = Current Book Value of Equity * Average Return
on Equity (Firm)
- If the firm is in trouble because of firm-specific factors, and
the rest of the industry is healthy,
- Use average Return on Equity for comparable firms
Normalized Earnings = Current Book Value of Equity * Average Return
on Equity (Comparables)